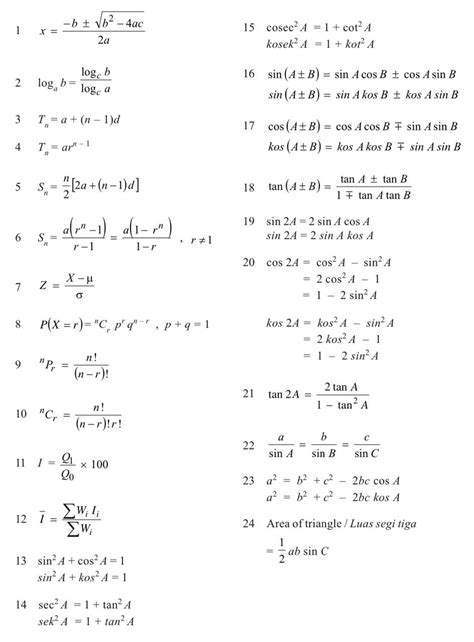
Formula matematik tambahan tingkatan 4 latihan matematik tambahan tingkatan 4 fungsi matematik tambahan tingkatan 4 formula matematik tambahan tingkatan 4 maths tambahan tingkatan 4 matematik tambahan tingkatan 4 pdf matematik tambahan tingkatan 4 soalan matematik tambahan fungsi matematik tambahan tingkatan 5 kssm jawapan
Matematik Tambahan Tingkatan 4 Indeks Dan Logaritma. Nilai logaritma biasa dapat dicari dengan menggunakan kalkulator saintifik. Nombor 4 didarabkan dengan nombor 4 sebanyak lima kali, maka tatatanda indeksnya ialah 4^5 (4 kuasa 5).

4.6.4 indeks, surd dan logaritma, spm praktis (soalan pendek).
Log 2 5 x + log 4 . Spm 2018 matematik tambahan k1 indeks dan logaritma. Simbolnya ialah log10, singkatannya lg. Soalan yang dipilih (latih diri 4.2 soalan 1) adalah dari buku teks matematik tambahan tingkatan 4 .



